企业AI应用的数据策略是什么?一文讲透架构设计与实践路径
在人工智能技术快速发展的今天,越来越多的企业开始探索AI在业务场景中的应用可能性。然而,许多企业在AI落地过程中却面临着一个共同的困境:技术很先进,但如何让AI真正理解和处理企业的私有数据,并产生实际的业务价值?答案就藏在企业AI应用的数据策略中。德勤《技术趋势2025》报告明确指出,企业在释放AI全部潜力之前,必须通盘协调战略、人才、架构,及当下最为重要的"数据"。
本文将从技术选型到合规落地,为您全面解析企业AI数据策略的核心要素、架构设计原则和实践路径,帮助您构建真正适合企业需求的AI数据管理体系。
一、企业AI数据策略核心框架解析
企业AI应用的数据策略,本质上是指企业为了支撑AI应用的有效运行,而制定的关于数据收集、处理、存储、安全和应用的综合性管理框架。它不仅仅是技术层面的数据管理,更是企业智能化转型战略的重要组成部分。
1.1 什么是企业AI应用的数据策略
企业AI数据策略是一个多维度的管理体系,涵盖了从数据源头到AI应用输出的完整链路。它主要包括以下几个核心要素:
数据架构设计:定义企业数据的组织方式、存储结构和访问机制,确保AI应用能够高效获取所需数据。
数据质量管理:建立数据清洗、标准化和验证机制,保证输入AI模型的数据具备足够的准确性和完整性。
数据安全与合规:制定数据隐私保护、访问控制和合规监管策略,确保AI应用符合相关法律法规要求。
数据生命周期管理:规划数据从产生到销毁的完整生命周期,包括数据的更新、备份和归档策略。
1.2 数据策略在AI应用中的关键作用
在企业AI应用中,数据策略发挥着基础性和决定性的作用。一个完善的数据策略能够:
提升AI模型性能:通过高质量的数据输入,显著提升AI模型的准确性和可靠性。研究表明,数据质量的提升能够带来20-30%的模型性能改善。
降低实施成本:合理的数据架构设计能够减少数据处理的复杂度,降低AI应用的开发和维护成本。
加速业务创新:标准化的数据管理流程能够快速支撑新的AI应用场景,缩短从想法到落地的周期。
保障合规安全:完善的数据治理体系能够有效防范数据泄露风险,确保企业AI应用符合监管要求。
1.3 构建企业级AI数据策略的五大核心要素
基于对众多企业AI落地实践的分析,我们总结出构建企业级AI数据策略的五大核心要素: 图1:企业AI数据策略核心架构框架
加载图表中...
- 数据统一标准:建立企业级的数据标准和规范,确保不同来源的数据能够有效整合和互操作。
- 技术架构选型:根据企业规模、业务特点和技术能力,选择合适的AI技术路径和数据处理架构。
- 安全合规体系:构建覆盖数据全生命周期的安全防护和合规管理机制。
- 组织能力建设:培养企业内部的AI数据管理人才队伍,建立跨部门的协作机制。
- 持续优化机制:建立数据策略的监控、评估和优化机制,确保策略能够适应业务发展需要。
二、三大技术路径选择:训练、微调与提示工程对比
在制定企业AI数据策略时,选择合适的技术实现路径是关键决策之一。目前主流的LLM应用策略主要分为三种:自定义训练、模型微调和提示工程。每种路径都有其适用场景、资源要求和预期效果。
2.1 自定义训练:适用场景与资源要求
自定义训练是指企业从零开始训练专属的大语言模型,这种方式能够最大程度地贴合企业的业务需求和数据特点。
适用场景:
- 拥有海量高质量训练数据(通常需要TB级别以上)
- 对数据隐私和安全有极高要求的行业(如金融、医疗)
- 具备强大技术团队和充足资金预算的大型企业
- 业务场景高度专业化,通用模型难以满足需求
资源要求:
- 计算资源:需要大规模GPU集群,训练成本通常在数百万到数千万人民币
- 数据资源:需要数十亿到数千亿个高质量token的训练数据
- 人力资源:需要具备深度学习、分布式计算等专业技能的技术团队
- 时间成本:完整的训练周期通常需要数月到一年时间
2.2 模型微调:平衡性能与成本的最佳选择
模型微调是在预训练大模型的基础上,使用企业特定数据进行进一步训练,以适应特定的业务场景。这种方式在性能和成本之间取得了较好的平衡。
技术优势:
- 相比自定义训练,大幅降低了计算成本和时间投入
- 能够有效利用预训练模型的通用知识
- 可以针对特定任务进行精准优化
实施要点:
- 数据准备:通常需要数万到数十万条高质量的标注数据
- 参数选择:合理设置学习率、训练轮数等超参数
- 评估验证:建立完善的模型效果评估体系
2.3 提示工程:快速部署的轻量级方案
提示工程是通过精心设计输入提示(Prompt),引导预训练模型产生期望输出的技术方法。这是当前最轻量级、部署最快的AI应用方案。
核心特点:
- 零样本学习:无需额外训练数据即可实现特定任务
- 快速迭代:可以通过调整提示内容快速优化效果
- 成本低廉:主要成本来自API调用费用,通常每月数千到数万元
应用策略:
- 结合企业知识库进行上下文增强
- 采用思维链(Chain-of-Thought)提升推理能力
- 通过少样本学习(Few-shot Learning)提高任务适应性
2.4 技术路径选择决策矩阵
为了帮助企业做出最适合的技术路径选择,我们构建了一个决策矩阵:
表1:三大技术路径对比分析
| 对比维度 | 自定义训练 | 模型微调 | 提示工程 |
|---|---|---|---|
| 实施成本 | 极高(500万+) | 中等(50-200万) | 低(5-50万) |
| 技术门槛 | 极高 | 高 | 中等 |
| 部署周期 | 6-12个月 | 2-6个月 | 1-4周 |
| 定制化程度 | 极高 | 高 | 中等 |
| 数据要求 | TB级 | GB级 | MB级 |
| 适用企业规模 | 大型企业 | 中大型企业 | 中小型企业 |
| 维护复杂度 | 极高 | 高 | 低 |
| 效果可控性 | 最高 | 高 | 中等 |
基于这个对比矩阵,我们建议:
- 大型企业且有充足预算的情况下,可以考虑自定义训练
- 中型企业推荐采用模型微调方案,在成本和效果之间取得平衡
- 初创企业或快速验证场景建议从提示工程开始,后续根据业务发展逐步升级
三、数据持久化架构设计:短期记忆vs长期记忆策略
在企业AI应用中,数据持久化架构的设计直接影响到系统的性能、成本和可扩展性。合理的架构设计需要在短期记忆(实时数据处理)和长期记忆(历史数据存储)之间找到最优平衡点。
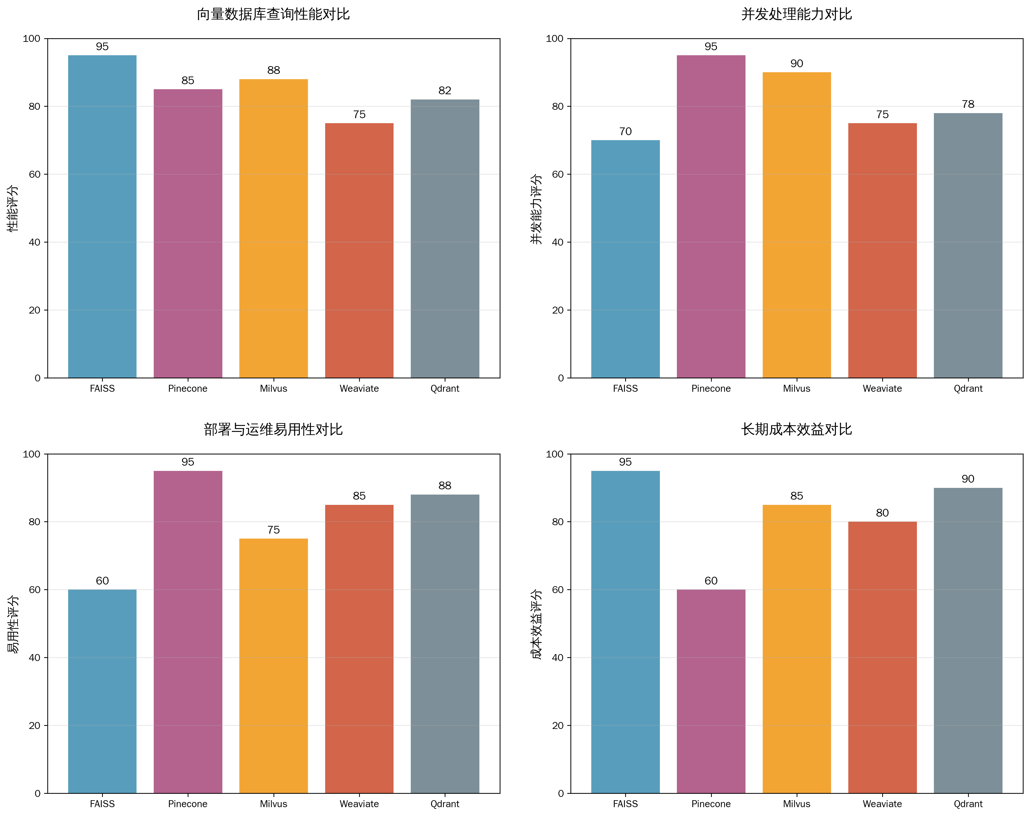
3.1 向量数据库选型对比分析
向量数据库是现代企业AI应用的核心基础设施,特别是在RAG(检索增强生成)架构中发挥着关键作用。不同的向量数据库在性能、成本、易用性等方面存在显著差异。
表2:主流向量数据库性能对比
| 数据库 | 类型 | 查询性能 | 并发能力 | 部署方式 | 适用场景 |
|---|---|---|---|---|---|
| FAISS | 开源库 | 极高 | 中等 | 本地部署 | 高性能计算场景 |
| Pinecone | 云服务 | 高 | 极高 | 云端托管 | 快速上线项目 |
| Milvus | 开源 | 高 | 高 | 混合部署 | 大规模生产环境 |
| Weaviate | 开源 | 中高 | 中高 | 混合部署 | 知识图谱应用 |
| Qdrant | 开源 | 高 | 中高 | 混合部署 | 中小型项目 |
根据向量数据库性能对比分析,在选择向量数据库时需要考虑以下关键因素:
性能要求:FAISS在查询速度方面表现最优,但需要更多的技术投入来构建完整的数据库功能。
运维能力:Pinecone提供完全托管服务,适合缺乏专业运维团队的企业。
成本控制:开源方案如Milvus和Qdrant在长期使用中具有成本优势。
扩展性需求:大规模企业应用建议选择Milvus或Pinecone,以获得更好的水平扩展能力。
3.2 RAG检索增强生成架构设计
RAG架构是当前企业AI应用中最成熟和广泛采用的技术方案之一,它通过结合外部知识库来增强大语言模型的回答能力。
图2:企业级RAG架构设计流程
加载图表中...
RAG架构的核心优势在于:
- 知识实时性:可以随时更新知识库内容,无需重新训练模型
- 可解释性:能够追溯答案来源,提供引用依据
- 成本效益:相比模型微调,实施和维护成本更低
- 灵活扩展:可以轻松接入新的数据源和知识领域
3.3 企业级数据持久化最佳实践
在设计企业级数据持久化策略时,需要考虑数据的访问模式、更新频率和业务重要性。我们推荐采用分层存储架构:
热数据层(实时访问):
- 存储近期频繁访问的数据和实时生成的向量
- 采用内存数据库或高性能SSD存储
- 典型保留周期:7-30天
温数据层(定期访问):
- 存储历史业务数据和周期性分析结果
- 采用高性能云存储或分布式文件系统
- 典型保留周期:1-12个月
冷数据层(归档存储):
- 存储合规要求的长期数据和备份
- 采用低成本的对象存储服务
- 典型保留周期:1年以上
在数据持久化架构的选择上,BetterYeah AI的VisionRAG智能数据引擎提供了一个值得参考的解决方案。该引擎专门针对企业内部图、文、表等混合型知识进行了优化,能够在保证检索精度的同时,显著降低存储和计算成本。通过智能的数据分层和缓存策略,VisionRAG引擎能够为企业提供毫秒级的查询响应,同时支持TB级别的知识库规模。
四、AI数据安全与合规治理体系构建
随着AI应用在企业中的深入推广,数据安全和合规治理已成为企业必须重点关注的核心议题。特别是在中国,随着《数据安全法》、《个人信息保护法》等法规的实施,企业AI应用的合规要求日益严格。
4.1 中国数据安全法规要求解读
中国信息通信研究院《人工智能治理蓝皮书》明确指出,人工智能治理需要通过政策制定、法律监管、伦理指导等手段,对人工智能的研发、应用等行为进行全面管理和调控。
企业在构建AI数据策略时,需要重点关注以下法规要求:
《数据安全法》核心要求:
- 建立数据分类分级保护制度
- 实施数据安全风险评估和监测预警
- 确保重要数据和个人信息的安全处理
《个人信息保护法》关键条款:
- 遵循最小必要原则收集和处理个人信息
- 获得个人信息主体的明确同意
- 建立个人信息保护影响评估机制
《算法推荐管理规定》要求:
- 建立健全算法机制机理审核和科技伦理审查制度
- 定期审核、评估、验证算法机制机理
- 不得利用算法实施影响网络舆论或规避监管的行为
4.2 企业AI数据合规治理框架
基于法规要求和行业最佳实践,我们推荐企业构建"四层防护"的AI数据合规治理框架:
表3:AI数据合规治理检查清单
| 治理层级 | 关键措施 | 实施要点 | 合规验证 |
|---|---|---|---|
| 数据源头治理 | 数据分类分级 | 建立数据敏感性标签体系 | ✓ 分级标准文档 |
| 授权收集 | 获得明确的数据使用授权 | ✓ 授权协议存档 | |
| 处理过程管控 | 访问权限控制 | 实施基于角色的访问控制 | ✓ 权限审计日志 |
| 数据脱敏处理 | 对敏感数据进行匿名化处理 | ✓ 脱敏算法验证 | |
| 存储安全防护 | 数据加密存储 | 采用AES-256等强加密算法 | ✓ 加密强度测试 |
| 备份与恢复 | 建立多地备份和灾难恢复机制 | ✓ 恢复演练记录 | |
| 应用输出监管 | 内容安全审核 | 对AI生成内容进行安全性检查 | ✓ 审核规则文档 |
| 审计追踪 | 记录完整的数据处理和决策链路 | ✓ 审计日志完整性 |
4.3 数据隐私保护技术方案
在技术实施层面,企业可以采用多种隐私保护技术来确保AI应用的合规性:
差分隐私(Differential Privacy): 通过在数据中添加精心设计的噪声,在保护个体隐私的同时保持数据的统计特性。这种技术特别适用于数据分析和机器学习场景。
联邦学习(Federated Learning): 允许多个参与方在不共享原始数据的情况下,协同训练机器学习模型。这种方法特别适合需要多方数据合作但又有隐私保护要求的场景。
同态加密(Homomorphic Encryption): 支持在加密数据上直接进行计算,计算结果解密后与明文计算结果一致。虽然计算开销较大,但在高安全要求场景下具有重要价值。
安全多方计算(Secure Multi-party Computation): 允许多个参与方在不泄露各自私有数据的前提下,共同计算一个函数的结果。
五、行业最佳实践案例深度剖析
通过分析不同行业的AI数据策略实践案例,我们可以更好地理解理论框架在实际业务中的应用效果和实施要点。
5.1 金融行业AI数据策略案例
案例背景:某大型商业银行构建智能风控系统,需要处理海量的交易数据、客户信息和外部征信数据。
数据策略要点:
- 数据融合策略:建立统一的客户数据平台,整合内部交易数据和外部征信数据
- 实时处理能力:构建流式数据处理架构,实现毫秒级的风险评估响应
- 合规保障措施:严格遵循金融监管要求,建立完善的数据审计和风险控制机制
实施效果:
- 风险识别准确率提升35%
- 审批效率提升60%
- 合规成本降低25%
关键成功因素:
- 建立了跨部门的数据治理委员会
- 投入充足资源进行数据质量提升
- 与监管部门保持密切沟通,确保合规性
5.2 制造业智能化数据管理实践
案例背景:某汽车制造企业通过AI技术优化生产流程,涉及设备数据、质量数据、供应链数据等多个维度。
数据架构设计:
- 边缘计算层:在生产线部署边缘计算节点,实现数据的就近处理
- 数据湖架构:采用数据湖技术存储多源异构的生产数据
- 知识图谱构建:建立产品、工艺、设备之间的关联关系图谱
业务价值实现:
- 设备故障预测准确率达到92%
- 生产效率提升18%
- 质量缺陷率降低40%
5.3 零售业客户数据智能应用
案例背景:某大型电商平台构建个性化推荐系统,需要处理用户行为数据、商品数据、交易数据等。
数据策略创新点:
- 实时个性化:构建实时特征工程流水线,实现毫秒级的个性化推荐
- 多模态数据融合:整合文本、图像、视频等多种类型的商品数据
- 隐私保护设计:采用联邦学习技术,在保护用户隐私的前提下提升推荐效果
商业价值体现:
- 用户点击率提升25%
- 转化率提升15%
- 客户生命周期价值提升30%
六、企业AI数据策略实施路线图与未来展望
制定完善的AI数据策略只是第一步,如何有效实施并持续优化才是企业成功的关键。基于大量企业实践经验,我们总结出一套系统性的实施路线图。
6.1 分阶段实施策略规划
第一阶段:基础建设期(1-3个月)
在这个阶段,企业需要完成基础设施建设和团队组建:
- 成立跨部门的AI数据治理委员会
- 完成现有数据资产的盘点和评估
- 选择并部署基础的数据处理和存储平台
- 制定数据安全和合规管理制度
第二阶段:试点验证期(3-6个月)
选择1-2个具体业务场景进行AI应用试点:
- 构建端到端的数据处理流水线
- 部署第一个生产级AI应用
- 建立数据质量监控和效果评估机制
- 积累实施经验和最佳实践
第三阶段:规模化推广期(6-18个月)
基于试点经验,将成功模式推广到更多业务场景:
- 建立标准化的AI应用开发流程
- 构建企业级的AI数据平台
- 培养内部AI应用开发能力
- 建立持续优化和迭代机制
6.2 ROI评估与成效监控
企业AI数据策略的投资回报率评估需要建立多维度的指标体系。我们现在通过数据可视化来展示典型的ROI评估模型:
图3:主流向量数据库性能综合对比
从对比结果可以看出,不同向量数据库各有优势:FAISS在查询性能方面表现最佳,Pinecone在并发能力和易用性方面领先,而开源方案如Milvus和Qdrant在成本效益方面更具优势。企业在选择时需要根据自身的技术能力、预算约束和业务需求进行综合考虑。
图4:企业AI数据策略投资回报率分析
根据我们对多家企业的ROI分析,企业AI数据策略的典型投资回报模式呈现以下特点:
投资回报关键节点:
- 第8个月:达到收支平衡点,累计收益开始超过投资成本
- 第12个月:ROI达到100%,投资回报率实现翻倍
- 第24个月:ROI可达到262%,显示出显著的长期投资价值
ROI影响因素分析:
- 数据质量:高质量的数据能够显著缩短回报周期
- 应用场景选择:选择高价值业务场景能够快速实现投资回报
- 技术架构合理性:合适的技术选型能够降低维护成本
- 团队能力建设:专业团队能够提升实施效率和效果质量
6.3 AI数据策略的未来发展趋势
展望未来,企业AI数据策略将呈现以下几个重要发展趋势:
趋势一:多模态数据融合成为标配
Gartner 2025年中国人工智能十大趋势预测,到2026年,中国50%的AI产业生态将基于开放式GenAI模型构建。这意味着企业需要具备处理文本、图像、音频、视频等多种数据类型的综合能力。
趋势二:实时智能决策成为核心竞争力
随着边缘计算技术的成熟,企业将更加重视实时数据处理和即时智能决策能力。这要求企业数据策略必须支持低延迟、高并发的数据处理需求。
趋势三:AI数据治理法规持续完善
随着AI技术的广泛应用,相关法规将持续完善和细化。企业需要建立更加完善的合规管理体系,确保AI应用的长期可持续发展。
趋势四:自动化数据管理工具普及
AutoML、AutoData等自动化工具将显著降低AI数据管理的技术门槛,使更多企业能够快速构建和部署AI应用。
趋势五:行业专用AI数据平台兴起
针对金融、医疗、制造等特定行业的专用AI数据平台将快速发展,提供更加贴合行业需求的解决方案。
数据驱动未来:企业AI转型的必然选择
在数字化浪潮席卷全球的今天,企业AI应用的数据策略已不再是可有可无的技术选择,而是关乎企业生存和发展的战略必需品。正如我们在文章开篇所提到的问题:如何让AI真正理解和处理企业的私有数据,并产生实际的业务价值?答案就在于构建一套科学、完整、可执行的企业AI数据策略。
从技术选型的权衡到架构设计的优化,从安全合规的保障到ROI效益的实现,每一个环节都需要企业决策者的深入思考和精心规划。数据不仅是AI的燃料,更是企业智能化转型的基石。只有那些能够有效管理和运用数据资产的企业,才能在AI时代的竞争中立于不败之地。
未来已来,选择权在您手中。是继续观望等待,还是主动拥抱变革?企业AI数据策略的成功实施,将决定您的企业能否在这场智能化革命中占据先机,成为行业的引领者。




