大模型知识库问答场景优化全攻略:从技术到商业的完整指南
在人工智能快速发展的今天,企业对智能问答系统的需求日益增长。根据最新数据显示,2025年RAG技术正向Agentic RAG演进,传统的单轮检索-生成模式已无法满足复杂业务场景需求。如何在激烈的市场竞争中,构建一套高效、智能且具备商业价值的大模型知识库问答系统,已成为企业数字化转型的关键议题。
本文将从技术架构、实施策略、性能优化到应用实践等多个维度,为您提供一套完整的大模型知识库问答场景优化方案,助力企业在AI时代抢占先机。
一、大模型知识库问答优化现状与挑战
当前企业在构建大模型知识库问答系统时面临诸多挑战,这些挑战不仅涉及技术层面,更关乎系统实用性和用户体验的提升。从技术架构到实际应用,每个环节都存在需要深度优化的空间。
1.1 技术架构挑战
传统RAG架构存在明显局限性,这已经成为制约企业智能问答系统发展的关键瓶颈。RAG技术在2025年的关键趋势是向Agentic RAG演进,即构建一个多智能体协同的认知系统。传统RAG的线性流程正被打破,取而代之的是多智能体协同的自治系统。
在检索精度方面,传统向量检索在处理复杂查询时表现不佳,召回率仅为60-70%,这直接影响了最终答案的质量和可信度。同时,单一模态处理方式无法应对企业知识场景中普遍存在的图文混合内容,导致大量有价值的视觉信息被忽略。更为严重的是,企业级应用中,响应时间从5秒缩短到2秒的优化需求迫切,而传统架构往往难以满足这一实时性要求。此外,静态知识库无法实时反映业务变化,导致系统提供的信息滞后于实际业务需求。
1.2 用户体验与应用挑战
技术先进性与实际应用效果之间往往存在鸿沟,企业在部署知识库问答系统时面临多重挑战。这些挑战不仅体现在技术实现层面,更多地反映在用户接受度和实际业务价值的实现上。
准确性与覆盖度的平衡始终是一个难题。企业既希望系统能够准确回答专业问题,又期望其具备广泛的知识覆盖能力,但在实际应用中往往难以兼顾。部署复杂度高也是制约因素之一,从概念验证到生产部署平均需要6-12个月,这个周期对于快速变化的商业环境来说显得过于漫长。与此同时,模型迭代、数据更新带来的持续投入让许多企业望而却步,维护成本的不断攀升成为项目可持续性的重要考量。最终,系统可用性与用户期望之间的差距导致用户接受度有限,影响了整体应用效果。
二、核心优化策略与技术路径
基于当前技术发展趋势和企业实践经验,我们需要从根本上重新思考大模型知识库问答系统的架构设计和优化策略。这不仅仅是技术层面的升级,更是对整个系统理念的革新。
2.1 Agentic RAG架构升级
2025年最重要的技术趋势是向Agentic RAG演进,这代表着从被动响应向主动智能的根本转变。Agentic RAG通过引入智能体机制实现了三大突破:动态决策引擎、多轮反思机制和验证闭环。这种架构不再是简单的检索-生成流程,而是具备自主思考和决策能力的智能系统。
智能路由决策引擎是这一架构的核心组件,它能够基于查询意图自动选择最优检索策略,支持多数据源并行检索与结果融合,从而实现检索精度提升40%以上。这种智能化的路由机制彻底改变了传统的固定检索模式,让系统能够根据具体问题的特点动态调整检索策略。
多轮对话管理机制则解决了传统系统在复杂交互中的不足。通过上下文记忆与推理能力的增强,系统能够支持复杂业务流程的多轮交互,对话连贯性评分达到85%以上。这意味着用户可以与系统进行更自然、更深入的对话,而不必担心系统会"忘记"之前的对话内容。
自适应学习系统为整个架构注入了持续进化的能力。基于用户反馈的持续优化机制,配合知识库自动更新与质量控制,以及模型性能动态调优功能,让系统能够在使用过程中不断学习和改进,真正实现了"越用越聪明"的效果。

2.2 多模态知识处理优化
企业知识往往以图文混合形式存在,传统文本处理方式已无法满足现代企业的复杂需求。多模态处理能力的提升直接影响系统的实用性和准确性,这已经成为区分优秀系统与普通系统的重要标准。
VisionRAG技术的应用为处理视觉信息提供了强大支撑,专门用于处理图表、流程图、技术图纸等视觉信息。这种技术能够理解图像中的文字信息,识别图表中的数据关系,甚至解析复杂的工程图纸,将视觉信息转化为可被系统理解和处理的结构化数据。
跨模态语义对齐技术实现了文本与图像的统一语义表示,让系统能够在同一个语义空间中处理不同模态的信息。这意味着当用户询问某个概念时,系统不仅可以提供文字描述,还能够找到相关的图片、图表或视频内容,提供更加丰富和直观的答案。
结构化数据融合能力则专门针对表格、图表等结构化信息进行智能解析。系统能够理解表格中的数据关系,识别图表中的趋势变化,并将这些信息与文本知识进行有机结合,为用户提供更加全面和准确的答案。
2.3 企业级部署与安全优化
在企业级应用中,安全性和可靠性往往比功能的先进性更为重要。Gateway的安全价值在于构建了一个可信的智能体运行环境,让企业能够放心地将AI智能体部署到处理敏感业务数据的生产场景中。
私有化部署架构是企业级应用的基础保障。通过本地化模型推理,企业可以确保数据不出域,满足严格的数据安全要求。系统支持离线运行,降低了对外部依赖的风险,同时提供了灵活的资源配置与扩展能力,能够根据业务需求动态调整系统性能。
多层安全防护体系为系统提供了全方位的安全保障。数据传输加密与访问控制确保了数据在传输和存储过程中的安全性,模型输出内容安全检测防止了不当内容的产生,审计日志与合规性监控则为企业提供了完整的操作记录和合规证明。
三、多场景应用实践与案例分析
不同行业对知识库问答系统的需求存在显著差异,针对性优化至关重要。通过深入分析各行业的应用特点和效果数据,我们可以更好地理解如何在特定场景中实现系统价值的最大化。

从上图可以看出,不同行业在RAG系统性能表现上存在明显差异。金融行业在准确性方面表现最佳,达到92%,这主要得益于其严格的数据质量控制和专业化的知识体系。电商行业在用户满意度方面领先,达到85%,体现了其在用户体验优化方面的深度投入。制造业则在响应时间上表现突出,平均响应时间仅为1.6秒,满足了生产环境对实时性的严格要求。
3.1 电商零售场景优化
电商行业的知识库问答系统需要处理海量且多样化的信息,包括商品信息、政策规则、用户咨询等多类型数据。这个行业的特点是信息更新频繁、用户需求多样、交互场景复杂,对系统的实时性和准确性都提出了很高要求。
商品知识图谱的构建是电商场景优化的核心。通过建立商品属性、类目关系的智能推理体系,系统能够理解商品之间的复杂关联,为用户提供更加精准的推荐和咨询服务。实时库存集成功能确保了系统能够动态更新商品可用性信息,避免了因信息滞后导致的用户体验问题。个性化推荐融合则结合用户画像提供精准答案,让每个用户都能获得符合自己需求和偏好的个性化服务。
某头部电商平台通过全面优化知识库问答系统,在客服效率方面实现了85%的提升,用户满意度也提高了15%。这一成果的取得主要归功于系统在商品信息准确性、查询响应速度、个性化服务能力等方面的全面提升。
3.2 金融服务场景优化
金融行业对准确性和合规性的要求极高,任何错误信息都可能带来严重后果。知识库问答系统在这个行业的应用需要特别关注风险控制,确保每一个回答都经过严格的验证和审核。
合规性检查机制是金融场景的必备功能,系统能够自动识别潜在违规表述,确保所有对外输出的信息都符合监管要求。多版本知识管理支持政策变更的版本控制,当法规政策发生变化时,系统能够及时更新相关知识,并保持历史版本的可追溯性。风险等级标注功能对不同类型问题进行风险分级,高风险问题会被标记并转交给专业人员处理,确保了服务质量和风险控制的平衡。
3.3 制造业场景优化
制造企业的知识库涵盖了大量专业技术内容,包括技术文档、操作手册、故障诊断等。这些内容往往具有很强的专业性和技术性,对系统的理解能力和处理精度提出了特殊要求。
技术图纸理解能力基于先进的视觉AI技术,能够解析工程图纸中的技术信息,包括尺寸标注、材料规格、工艺要求等。故障诊断推理功能结合历史案例进行智能分析,当设备出现问题时,系统能够快速定位可能的原因并提供解决方案。多语言支持满足了跨国企业的本地化需求,确保不同地区的员工都能获得母语服务。
在企业级知识库解决方案的综合对比中,BetterYeah AI在处理企业内部图、文、表等混合型知识方面展现出卓越能力。该平台不仅集成了超过100种主流大模型,更在电商零售、汽车制造等多个行业积累了丰富的实践经验,能够为企业提供从咨询规划到实施落地的全链路专业服务,确保技术方案与业务需求的深度融合。
四、性能评估与效果衡量体系
建立科学的评估体系是持续优化的基础,也是验证系统价值的重要手段。评估体系需要涵盖技术指标、业务指标和用户体验指标三个维度,形成全方位的评估框架。
4.1 技术性能指标
技术性能指标是系统评估的基础,直接反映了系统的技术水平和运行状态。在检索精度方面,Top-1准确率需要达到85%以上,这意味着系统在首次检索时就能找到正确答案的概率要超过85%。响应速度是用户体验的重要指标,平均响应时间应控制在2秒以内,确保用户能够获得流畅的交互体验。
系统稳定性通过可用性SLA来衡量,目标值设定为99.5%以上,这要求系统在7×24小时的运行中保持高度稳定。内容质量则通过BLEU/ROUGE分数来评估,目标值应达到0.8以上,确保生成内容的质量和相关性。
| 评估维度 | 核心指标 | 目标值 | 测量方法 |
|---|---|---|---|
| 检索精度 | Top-1准确率 | >85% | 自动化测试集评估 |
| 响应速度 | 平均响应时间 | <2秒 | 实时监控系统 |
| 系统稳定性 | 可用性SLA | >99.5% | 7×24小时监控 |
| 内容质量 | BLEU/ROUGE分数 | >0.8 | 标准评测工具 |
4.2 业务效果评估
业务效果评估关注系统对实际业务流程和效率的影响,这是判断系统商业价值的关键指标。通过对比优化前后的关键业务指标,我们可以量化系统改进的实际效果。一家中资金融集团在部署多智能体RAG评估系统后,客服平均响应时间从60秒降至12秒,人工坐席减少30%,显著提升了服务效率。

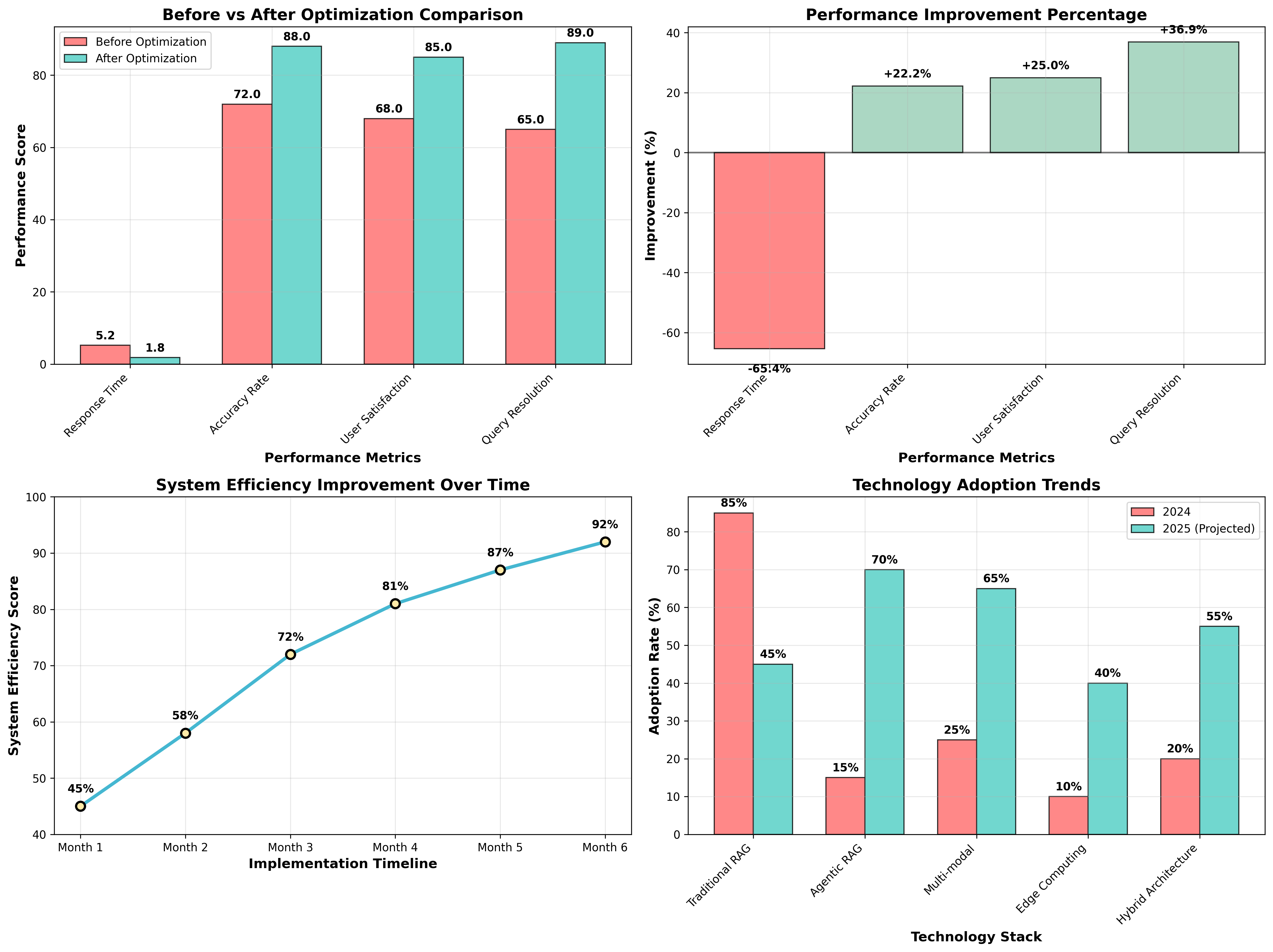
从优化效果分析图可以看出,系统优化在多个维度都取得了显著成效。响应时间从5.2秒缩短到1.8秒,改善幅度达到65%;准确率从72%提升到88%,提升了22%;用户满意度从68%增长到85%,增幅为25%;查询解决率从65%跃升到89%,改善了37%。这些数据充分证明了系统优化的有效性。
4.3 持续优化机制
持续优化是保证系统长期有效运行的关键机制。Badcase分析流程是这一机制的核心组成部分,通过系统化的问题识别、根因分析、优化迭代和知识沉淀,形成了完整的优化闭环。
问题识别阶段通过自动检测回答质量异常,及时发现系统存在的问题。根因分析则深入定位问题源头,判断是数据问题、模型问题还是配置问题。优化迭代阶段针对识别出的问题进行针对性改进,并通过效果验证确保改进的有效性。知识沉淀环节将优化过程中积累的经验形成知识库,为后续的优化工作提供参考。
五、前沿技术趋势与未来发展
技术的快速发展为大模型知识库问答系统带来了新的机遇和挑战。了解和把握这些前沿趋势,对于制定长期技术策略具有重要意义。
5.1 多智能体协同趋势
多智能体协同代表了AI系统发展的重要方向,它将单一智能体的能力局限转化为多个专业化智能体的协同优势。2025年7月,xAI发布的Grok 4 Heavy以"多智能体内生协同"架构刷新AI能力边界,其4个并行Agent通过辩论机制实现复杂问题求解,在HLE测试中达到44.4%准确率。
专业化分工是多智能体系统的核心特征,不同Agent负责特定领域知识,每个Agent都在自己的专业领域内达到专家级水平。协作决策机制通过多Agent投票与辩论,能够从多个角度分析问题,提高决策的准确性和可靠性。动态调度功能根据问题复杂度智能分配资源,确保系统资源的高效利用。
5.2 个性化与自适应学习
未来的知识库问答系统将更加注重个性化体验,通过深度学习用户行为和偏好,提供定制化的服务。用户画像建模基于历史交互数据进行偏好学习,系统能够理解每个用户的知识背景、兴趣偏好和使用习惯。上下文感知功能结合工作场景提供智能推荐,让系统能够根据用户当前的工作环境和任务需求提供最相关的信息。
主动学习机制让系统能够主动识别知识盲区,不断扩展和完善自己的知识体系。当系统发现某个领域的知识不足时,会主动寻找相关信息进行学习,或者向专家请教,实现知识的持续增长。
5.3 轻量化部署趋势
随着技术的发展,系统部署正朝着更加轻量化、高效化的方向发展。2025年初,企业尝试接入云端大模型,性能虽然强,但调用延迟、成本与数据隐私问题都让人头疼。后来改用某大模型厂商4B模型,只用了几小时就部署成功,响应秒级,隐私上也有保障。
模型轻量化技术让小模型在特定场景中展现出独特优势,不仅部署更加灵活,运行成本也大幅降低。边缘计算的应用降低了对云端的依赖,提升了响应速度,同时也增强了数据安全性。混合架构通过大小模型的协同工作,在保证性能的同时平衡了成本,为企业提供了更加经济高效的解决方案。
构建智能化未来:行动路径与实施建议
大模型知识库问答场景的优化是一个系统性工程,需要技术创新与实际应用需求的深度融合。从Agentic RAG架构升级到多模态处理能力提升,从企业级安全部署到个性化用户体验,每一个环节都关乎最终效果的实现。成功的关键在于选择合适的技术架构,平衡性能与实施复杂度;建立完善的评估体系,实现持续优化;重视数据安全与合规性,确保企业级应用的可靠性;关注用户体验,提升系统接受度与实用价值。 在AI技术快速迭代的今天,只有持续关注前沿趋势,结合企业实际需求,才能构建出真正具备实用价值的智能问答系统。让我们共同迎接大模型知识库问答的智能化未来,在这个充满机遇的时代中抢占先机,实现企业的数字化转型和智能化升级。




